EFFECTS OF A RESTRICTED ELIMINATION DIET ON THE BEHAVIOUR OF CHILDREN WITH ATTENTION-DEFICIT HYPERACTIVITY DISORDER (INCA STUDY): A RANDOMISED CONTROLLED TRIAL
 
   

Effects of a Restricted Elimination Diet
on the Behaviour of Children With
Attention-deficit Hyperactivity Disorder
(INCA study): A Randomised Controlled Trial

This section was compiled by Frank M. Painter, D.C.
Send all comments or additions to:
  Frankp@chiro.org
 
   

FROM:   The Lancet 2011 (Feb 4); 377 (9764): 494–503 ~ FULL TEXT

Dr Lidy M Pelsser MSc • Klaas Frankena PhD • Jan Toorman MD • Prof Huub F Savelkoul PhD
Prof Anthony E Dubois MD • Rob Rodrigues Pereira MD • Ton A Haagen MD
Nanda N Rommelse PhD • Prof Jan K Buitelaar MD

Dr Lidy M Pelsser, ADHD Research Centre,
Liviuslaan 49, 5624 JE Eindhoven,
Netherlands


According to this new study, just published in Lancet Journal, a diet free of processed foods significantly reduces the symptoms of ADHD in 78% of 4-8 year old children. This 5-week study involving 100 subjects found that 63% of them experienced a relapse in ADHD symptoms upon re-introduction of problem foods into the diet.

Please review an in-depth review of this article at our Blog

You may also enjoy our ADD/ADHD Page

Background   The effects of a restricted elimination diet in children with attention-deficit hyperactivity disorder (ADHD) have mainly been investigated in selected subgroups of patients. We aimed to investigate whether there is a connection between diet and behaviour in an unselected group of children.

Methods   The Impact of Nutrition on Children with ADHD (INCA) study was a randomised controlled trial that consisted of an open-label phase with masked measurements followed by a double-blind crossover phase. Patients in the Netherlands and Belgium were enrolled via announcements in medical health centres and through media announcements. Randomisation in both phases was individually done by random sampling. In the open-label phase (first phase), children aged 4—8 years who were diagnosed with ADHD were randomly assigned to 5 weeks of a restricted elimination diet (diet group) or to instructions for a healthy diet (control group). Thereafter, the clinical responders (those with an improvement of at least 40% on the ADHD rating scale [ARS]) from the diet group proceeded with a 4-week double-blind crossover food challenge phase (second phase), in which high-IgG or low-IgG foods (classified on the basis of every child's individual IgG blood test results) were added to the diet. During the first phase, only the assessing paediatrician was masked to group allocation. During the second phase (challenge phase), all persons involved were masked to challenge allocation. Primary endpoints were the change in ARS score between baseline and the end of the first phase (masked paediatrician) and between the end of the first phase and the second phase (double-blind), and the abbreviated Conners' scale (ACS) score (unmasked) between the same timepoints. Secondary endpoints included food-specific IgG levels at baseline related to the behaviour of the diet group responders after IgG-based food challenges. The primary analyses were intention to treat for the first phase and per protocol for the second phase. INCA is registered as an International Standard Randomised Controlled Trial, number ISRCTN 76063113.

Findings   Between Nov 4, 2008, and Sept 29, 2009, 100 children were enrolled and randomly assigned to the control group (n=50) or the diet group (n=50). Between baseline and the end of the first phase, the difference between the diet group and the control group in the mean ARS total score was 23·7 (95% CI 18·6—28·8; p<0·0001) according to the masked ratings. The difference between groups in the mean ACS score between the same timepoints was 11·8 (95% CI 9·2—14·5; p<0·0001). The ARS total score increased in clinical responders after the challenge by 20·8 (95% CI 14·3—27·3; p<0·0001) and the ACS score increased by 11·6 (7·7—15·4; p<0·0001). In the challenge phase, after challenges with either high-IgG or low-IgG foods, relapse of ADHD symptoms occurred in 19 of 30 (63%) children, independent of the IgG blood levels. There were no harms or adverse events reported in both phases.

Interpretation   A strictly supervised restricted elimination diet is a valuable instrument to assess whether ADHD is induced by food. The prescription of diets on the basis of IgG blood tests should be discouraged.



From the Full-Text Article:

Introduction

Attention-deficit hyperactivity disorder (ADHD) aff ects 5% of children worldwide and is characterised by excessive and impairing inattentive, hyperactive, and impulsive behaviour. [1] Genetic and environmental factors are involved, [2] and ADHD is often accompanied by oppositional defiant disorder. [3] Children with ADHD and comorbid oppositional defiant disorder are difficult for parents, guardians, and teachers to handle, give rise to substantial parenting stress, and have a worse prognosis for adverse outcomes (ie, an increased risk of developing conduct disorder and antisocial personality disorder) than have children without comorbidity. [4] At present, ADHD is treated with psychoeducation, parent training, child behavioural interventions, and drugs, [5] but follow-up studies have reported limited long-term effects of multimodal treatment. [6, 7]

One of the risk factors for ADHD that could be targeted for intervention is food. [8] Reports of adverse physical reactions to foods (eg, eczema, asthma, and gastro intestinal problems) that affect various organ systems [9] have led to the suggestion that foods might also affect the brain, resulting in adverse behavioural effects. [10] Colourings and preservatives might have some effect on the behaviour of children with or without ADHD, but additives do not cause ADHD. [2, 5, 11, 12] An individually constructed restricted elimination diet, which consists of some hypoallergenic foods, might be effective for treatment of ADHD. [8, 11] The rationale of this diet for children with ADHD is to investigate whether ADHD is triggered by foods — ie, to identify a hypersensitivity reaction to foods. In a small randomised controlled trial that investigated the effects of a restricted elimination diet, [13] we reported statistically significant and clinically relevant effects on ADHD and oppositional defiant disorder.

In children with ADHD that is triggered by foods, ADHD meets the criteria of hypersensitivity according to allergy nomenclature. [14] Accordingly, we postulated that ADHD might be an allergic or non-allergic hypersensitivity disorder in some children. [15] IgE is implicated in typical food allergies. In reactions to food that are not mediated by IgE, assessment of IgG levels might be useful, [15] and IgG blood tests are offered — especially in complementary care [17] — with the aim of establishing a relation between foods and ADHD. According to this theory, eating foods that induce high IgG levels would lead to a substantial behavioural relapse whereas eating those that induce low IgG levels would not. However, there is no evidence for the effectiveness of these tests. [18] The primary aim of the Impact of Nutrition on Children with ADHD (INCA) study was to investigate the effects of a restricted elimination diet on behaviour in children with ADHD. The secondary aim was to differentiate between non-allergic and allergic mechanisms in food-induced ADHD.



Methods

      Participants

Children were recruited at medical health centres and through media announcements in the Netherlands and Belgium. Interested parents or guardians (hereafter called parents) were provided with verbal and written information about the study. Eligible children were assessed for ADHD and comorbid disorders by a senior paediatrician (JT) using a structured psychiatric interview (SPI). Children were included if they had been diagnosed with ADHD of any subtype. [1] Further inclusion criteria were children’s age 4–8 years (sufficiently young to maximise dietary compliance), and parents with adequate knowledge of Dutch and who were motivated to follow a 5-week restricted elimination diet. Exclusion criteria were children receiving drugs or behavioural therapy for ADHD, children already following a diet, or family circumstances that were likely to prevent completion of the study. The presence of comorbid psychiatric disorders was not a reason for exclusion.

The INCA study was approved by the medical ethics committee of Wageningen University and by the executive board and ethics committee of Catharina Hospital Eindhoven. The parents of children who participated in the trial provided written informed consent before week 1 of the study.

      Randomisation and masking

INCA consisted of two phases. The first phase was an open-label phase with masked paediatrician measurements. After the baseline assessment, eligible children were randomly assigned to either a diet group or a control group. Randomisation was individually done by random sampling. Ten blocks of ten identical, sealed envelopes containing concealed treatment codes were made by a masked epidemiologist (KF) to prevent unbalanced assignment of treatment over time. Parents randomly picked and opened an envelope. Staff who recruited and assessed patients were not involved in the procedure used to generate group allocations.

Because the diet was individually tailored and restricted, a reliable placebo diet was not possible, thus parents and teachers could not be masked to group allocation. Also, the researcher (LP) who provided expert advice to parents and teachers during the diet period could not be masked. Parents were instructed not to reveal dietary information to the paediatrician (JT) who did masked assessments. [19]

The second phase was a double-blind crossover food challenge phase in the diet group. Eligible children from the diet group were randomly assigned, by simple sampling, to one of two challenge groups. Each group was offered either three foods that induce low IgG levels or three that induce high IgG levels in a crossover design. The three foods within each group were selected by an independent dietician who was masked to group assignment. The researcher, paediatrician, parents, and teachers were masked to IgG allocation. KF did the data entry for both phases and was masked to the assigned treatment.

      Procedures

During the trial, we used four questionnaires to assess outcome: the 18-item ADHD rating scale (ARS), [20] tenitem abbreviated Conners’ scale (ACS), [21] strengths and difficulties questionnaire (SDQ), [22] and SPI. [23] The ARS, which is based on the diagnostic and statistical manual of mental disorders part IV (DSM-IV) criteria for ADHD, consists of nine inattention and nine hyperactivity and impulsivity criteria, with a four-point scale (0=never [less than once a week], 1=sometimes [several times a week], 2=often [once a day], and 3=very often [several times a day]). Three measures were taken from the ARS: total score (0–54), inattention score (0–27), and hyperactivity and impulsivity score (0–27). The ACS, also a four-point rating scale, covers hyperactivity, impulsivity, attention, mood, and temper tantrums. The DSM-IV-based SPI was used to assess oppositional defiant disorder (with the eight DSM-IV oppositional defiant disorder criteria) and conduct disorder (with seven of the 15 DSM-IV conduct disorder criteria relevant to this young group of patients — ie, criteria 1–5, 9, and 11).

Table 1

The SDQ provides a total difficulties score on the basis of the results of four problem subscales: emotional symptoms, and conduct, hyperactivity–inattention, and peer problems. Unmasked parent and teacher assessments (ACS, ARS, and SPI) and masked paediatrician assessments (ARS and SPI) were done at baseline and at the end of the first phase (week 9 in the diet group and week 13 in the control group; table 1). The masked paediatrician based his ratings on information obtained from the parents as well as on his own observation and assessment of the child’s behaviour and presentation. The masked measurements were used for all analyses in the first phase, apart from the ACS score and the week 9 measurements in the control group. Blood samples were taken at the start and end of the first phase.

After the baseline assessments, randomisation was done, and parents started a 2-week baseline period during which they did not exclude any foods from their child’s diet. Parents kept extended diaries (containing information on the child’s diet, behaviour, activities, physical complaints, and medications; webappendix p 1) and closely monitored their child’s behaviour. After the baseline period (in week 3), the second unmasked parent assessment took place (ACS and ARS) and parents and teachers filled in the SDQ.

During week 4 (start of the first phase), the diet group started a 5-week individually designed restricted elimination diet, which has been described elsewhere [24] (webappendix p 2). Briefl y, the diet consisted of the few foods diet (ie, rice, meat, vegetables, pears, and water) [8, 24] complemented with specific foods such as potatoes, fruits, and wheat. The aim was to create an elimination diet as comprehensive as possible for each individual child, to make the intervention easy for children and their parents to follow. [10, 13] If the parents reported no behavioural changes by the end of the second diet week, the diet was gradually restricted to the few-foods diet only. [10] At the end of the first phase, all children were assessed by the masked paediatrician (ARS and SPI), unmasked parent and teacher ratings (ACS, ARS, and SPI) were done, the SDQ was completed by all parents and teachers, and blood samples were taken. Children in the diet group who had behavioural improvement of at least 40% on the ARS—ie, clinical responders—entered the challenge phase; the non-responders left the trial.

IgE and IgG levels were analysed from the blood samples taken at week 1. Total IgE, food-specifi c IgE (to chicken egg, peanut, soy, milk, fish, and wheat), and food-specific total IgG levels to 270 different foods were assessed with ELISA. Based on the levels of IgG (µg/mL) in serum, measured with a certified IgG-specific food screening test (ImuPro test), each analysed food was categorised as a low-IgG food or a high-IgG food.

In the diet group responders, in the second phase (double-blind crossover challenge phase; weeks 10–13), two groups of foods consisting of either three high-IgG or three low-IgG foods were consecutively added to the restricted elimination diet, each for 2 weeks. For every child, the composition of the food challenge groups was tailored by the dietician on the basis of total IgG levels to 270 different foods, which were assessed in the first blood samples. Any of the 270 foods could be chosen by the dietician, except for foods that caused increased IgE levels (to preclude an anaphylactic reaction), were disliked by the child, or were already part of the diet. Thus, the foods added in the challenge phase were individually chosen and differed per child. All children were to complete both challenges, and each challenge food group had to be eaten every day in equal amounts during the 2-week period or until behavioural changes occurred.

All behavioural measurements in the challenge phase were double-blind. Parent ACS and ARS assessments were done after each challenge; the other measurements were done at week 13 or at week 11 if there was a relapse in behaviour during the first challenge (table 1). If the child’s behaviour showed no relapse (according to the double-blind parent ARS score) during the first challenge period (weeks 10–11), the child proceeded with the second challenge (weeks 12–13), and a third blood sample was taken at week 13. Conversely, if the ADHD problems returned during the first challenge, the third blood sampling was brought forward, after which the challenge foods were eliminated again. After a washout period, the length of which depended on the remission of the behavioural problems, the second challenge would start, after which the randomised controlled trial ended.

After the baseline period, the control group followed the first phase until week 13 and received healthy food advice according to the guidelines of the Dutch Nutrition Centre. Parents continued to keep an extended diary until the end of the trial (week 13). Measurements took place at comparable times to the measurements in the diet group (table 1). At week 13, the second blood sample was taken, after which all parents of children who did not show behavioural improvements were offered the possibility of starting the diet.

The first phase primary endpoints were the difference in ARS (masked paediatrician assessment) and ACS scores (parent; unmasked assessment) between baseline and the end of the first phase. The challenge phase primary endpoints, in the clinical responders, were the change in ARS and ACS score from the end of the first phase to week 11 (after the first challenge) and week 13 (after the second challenge). A relapse in ADHD behaviour was defined as an ARS increase of at least 40% of the ARS score at the end of the first phase, and up to at least 60% of the ARS baseline score.

The first phase secondary endpoints were the IgE blood levels at the start of the trial associated with the behavioural changes at the end of the first phase, and the child’s comorbid behavioural problems, assessed by the change in SPI [13] scores (masked paediatrician) from week 1 and SDQ [22] scores (parent) from week 3 to the end of the first phase. The challenge phase secondary endpoints were the foodspecific IgG levels at baseline related to the behaviour of the diet group responders after IgG-based food challenges. The other secondary endpoints of physical and sleep problems assessed with the other complaints questionnaire, 24 and other blood tests, as specified in the INCA protocol, will be assessed in a separate paper.

      Statistical analysis

In our previous randomised controlled trial, [13] 11 of 15 children in the diet group and none of 12 children in the control group showed behavioural improvements of 40% or more. We therefore assumed that a behavioural improvement of at least 40% would occur in 60% of children in the diet group and in 20% of those in the control group in this study. To achieve 80% power (a=0·05, two sided test), taking into account a potential block effect and 10% dropouts, we calculated that 40 children per group were needed. To allow for a potentially higher percentage of dropouts, we included ten extra children per group.

We did statistical analyses with Stata (version 10) and SPSS (version 15). In the first phase, masked measurements were done at Catharina Hospital Eindhoven by JT and unmasked measurements were done at the ADHD Research Centre Eindhoven by LP. In the second phase, double-blind measurements were done by JT and LP. The first phase ARS and SPI analyses were done with the masked measurements and were by intention to treat, last observation carried forward. The challenge phase analyses were per protocol. To assess the agreement between the unmasked (parent) and masked paediatrician measurements for ARS and SPI, we calculated kappa values,25 and intra-cluster correlation coeffi cients (ICCs) [26] for categorical and continuous parameters, respectively. Kappa values greater than 0·75 (ICC >0·80) were taken to represent excellent agreement beyond chance; values below 0·40 (ICC <0·40) suggested poor agreement. Behavioural endpoint scores were analysed by a general linear model with treatment (diet group vs control group), block, and their interaction as independent variables and baseline scores as covariates. The most reduced model was selected but treatment and block were forced in each model. We assessed the fit of the models with the link test command of Stata. The association between clinical response (yes or no) and treatment, and its association with IgE blood levels was calculated with Fisher’s exact test. We analysed the effect of the crossover challenges (low-IgG or high-IgG) on the child’s behaviour with the Mainland-Gart procedure. [27] We did a second analysis that also included those children who responded equally to both challenges with the Prescott test. [27] The effect of the challenges (low-IgG, high-IgG) was expressed as odds ratios (ORs) and estimated by generalised estimated equations (binomial distribution, logit link), with adjustment for challenge period and intra-patient correlation.

INCA is registered as an International Standard Randomised Controlled Trial, number ISRCTN 76063113. The protocol for this study was peer reviewed and accepted by The Lancet; a summary of the protocol was published on the journal’s website, and the journal then made a commitment to peer review the primary clinical manuscript.

      Role of the funding source

The sponsors of the study had no role in the study design, data collection, data analysis, data interpretation, writing of the manuscript, or in the decision to submit for publication. All authors had full access to the data in the study and LMP, NNR, and JKB had fi nal responsibility for the decision to submit for publication.



Results

Figure 1

Table 3

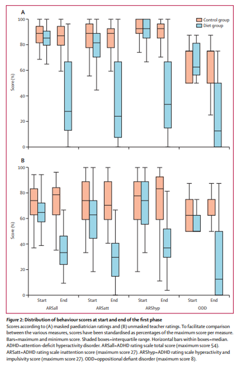
Figure 2

Between Nov 4, 2008, and Sept 29, 2009, 100 children were enrolled and randomly assigned to the control group (n=50) or the diet group (n=50; Figure 1). Most children were boys and the mean age was 6·9 years (SD 1·3; Table 2). Of the 41 children in the diet group who completed the first phase, the diet of 17 was restricted to the few-foods diet only.

Table 3 and Figure 2 show the ARS results from the first phase. Of the 41 (82%) of 50 children in the diet group who completed the first phase, nine (22%) of 41 did not and 32 (78%) of 41 did respond to the diet (figure 1). The mean difference in ARS score between baseline and the end of the first phase was significantly lower in the diet group than in the control group for both the masked paediatrician (p<0·0001) and unmasked teacher ratings (p<0·0001; table 3). When comparing the unmasked (parent; LP) with the masked (JT) ARS and SPI measurements from the first phase, both kappa and ICC of inter-rater agreement were greater than 0·40 (mean 0·90 [SD 0·07] for ICC and 0·83 [0·20] for kappa). The ACS score between baseline and the first phase was also significantly lower in the diet group than in the control group for both parent (p<0·0001) and teacher (p<0·0001) ratings (table 3).

The difference between groups on the oppositional defiant disorder criteria measured by the SPI at the end of the first phase was also significant for both the masked paediatrician (p<0·0001) and teacher ratings (p=0·0320; table 3; figure 2). Because only three children in the diet group met the criteria for conduct disorder, we did not analyse these results. The decrease in hyperactivity–inattention problems, measured on the SDQ, was similar to the decrease on the ARS (webappendix p 3). Prespecified IgE immunological analyses in responders (32 of 41) and non-responders (nine of 41) in the diet group showed no association between clinical response and increased IgE blood levels. Total IgE was increased in six of 30 responders (data missing for two children) and two of nine non-responders (p=1·0, Fisher’s exact test). Foodspecific IgE levels were increased in one of 31 responders (data missing for one child) and one of nine nonresponders (p=0·41, Fisher’s exact test).

Of the 32 children who were clinical responders, 30 proceeded to the challenge phase (figure 1). 19 of 30 showed a behavioural relapse after one or both challenges. The ACS (unmasked parent) and ARS (masked paediatrician) results in the children in the diet group who were included in the challenge phase (n=30) were compared with the results of the children in the control group who completed the trial (n=42; figure 3). The decrease in ARS total score in the clinical responders from baseline to the end of the first phase was 35·9 (95% CI 33·2–38·6; p<0·0001), which subsequently increased after the challenge by 20·8 (14·3–27·3; p<0·0001). The decrease in ACS score in the clinical responders from baseline to the end of the first phase was 18·3 (95% CI 16·7–19·9; p<0·0001), which increased after the challenge by 11·6 (7·7–15·4; p<0·0001). In the control group, the ARS score did not differ between the measurements at week 1 and week 9 (0·8, 95% CI –0·4 to 2·0; p=0·21) and week 9 and week 13 (0·8, –0·4 to 2·0; p=0·17). In the control group, the ACS score did not differ between week 1 and week 9 (0·2, 95% CI –0·8 to 0·4; p=0·5) and between week 9 and week 13 (0·2, –0·5 to 1·0; p=0·57). SDQ measurements showed similar results (webappendix p 4). Because only six of 30 teacher data were available at the end of the second phase, we did not analyse these results.

29 of 30 children were included in the IgG assessments (no suitable high-IgG foods were available for one responder; figure 1). 11 of 29 children were randomly assigned to start with the low-IgG challenge and 18 to the high-IgG challenge. Each challenge was followed by the other challenge. 13 of 29 low-IgG challenges and 13 of 29 high-IgG challenges resulted in a relapse of ADHD behaviour. No relapse was reported in 11 of 29 children, eight had relapses after both challenges, 15 had relapses after the first challenge, and 11 after the second challenge. The sequence of the challenges (low-IgG then high-IgG or high-IgG then low-IgG) was not significantly associated with the relapse of ADHD symptoms (Mainland-Gart p=1·0; Prescott p=0·38). The generalised estimated equations model showed no significant effects of IgG type (high-IgG vs low-IgG OR 0·86, 95% CI 0·36–2·09; p=0·75) or challenge period (first challenge vs second challenge 0·55, 0·23–1·33; p=0·26). Parents, teachers, and children reported no harms or adverse events in the first or second phase.



Discussion

In the INCA study, the restricted elimination diet had a significant beneficial effect on ADHD symptoms in 32 (64%) of 50 children, and reintroducing foods led to a significant behavioural relapse in clinical responders. Blood tests assessing IgG levels against foods did not predict which foods might have a deleterious behavioural effect. The effect of the diet was consistent and had a similar effect in reducing both ADHD and oppositional defiant disorder symptoms. Because of the worse prognosis of children with comorbid oppositional defiant disorder compared with those without comorbid disease, interventions that reduce oppositional defiant disorder symptoms have great clinical potential. The number of children with conduct disorder was, in accordance with the young age of the patients, too small to draw conclusions.

Total IgE levels were increased only in a few children, equally in responders and non-responders, suggesting that the underlying mechanism of food sensitivity in ADHD (which could be related to genetic factors [28]) is nonallergic, although we cannot rule out the involvement of a cell-mediated allergic response. In the second phase, some eliminated foods were added to the diet of the responders. Although the challenges consisted of only two groups of three different individually selected foods, there was a substantial relapse in behaviour in 63% of children. We recorded no difference in behavioural effects after challenge with high-IgG or low-IgG foods. These results suggest that use of IgG blood tests to identify which foods are triggering ADHD is not advisable. However, IgG blood tests might be useful in other diseases. [29, 30]

Our results must be viewed in light of some limitations. First, in the first phase, we did an open-label randomised controlled trial with masked measurements by an independent paediatrician because parents, teachers, and researchers could not be masked. This method is generally accepted and applied when a double-blind randomised controlled trial cannot be done. [31-37] Nevertheless, expectations of the parents cannot be fully ruled out as a possible cause of the behavioural improvements. Theoretically, the fact that the second assessment was done by the paediatrician after 9 weeks in the diet group compared with after 13 weeks in the control group might have led to unmasking of the paediatrician. To prevent this from happening, the paediatrician was not informed about any previous assessments. Because of the number of children included, with new children starting every week, and some children from the diet and control groups returning every week for their second assessments, the paediatrician was unlikely to remember whether he had seen a particular child 9 or 13 weeks earlier. Parents were also instructed not to reveal any information about group assignment. Second, we cannot rule out that the behavioural improvements during the first phase might have been caused by increased attention for the child in the diet group. However, to avoid differences between groups the control group received healthy food advice and parents kept an extended diary of their child’s behaviour during the trial. Furthermore, the relapse in behaviour during the second phase, which required comparable parental attention as in the first phase, might be regarded as an internal replication of the effects of the diet. Third, we applied a tailor-made diet for each child to minimise the burden of the diet. In 24 (59%) of 41 children this individually composed diet proved to be sufficient.

A strength of the INCA study was its design, which included multiple ratings, its large sample size, and blood tests to investigate the existence of an immunological mechanism of action. Furthermore, the heterogeneous sample is representative of the general population of children with ADHD, and thus the results of our study are applicable to young children with ADHD whose parents are motivated to follow a 5-week dietary investigation period (panel). Another strength is the investigation of the effects of the diet on comorbid disorders such as oppositional defiant disorder. The results of the multiple ratings are consistent, which provides evidence for the clinically relevant beneficial effects of a restricted elimination diet on ADHD and oppositional defiant disorder.

The mechanisms and effects of food need to be investigated — eg, at a functional and structural brain level and in relation to genetic factors that increase the susceptibility to ADHD. Also, the challenge procedure, which is done to identify the incriminated foods in clinical responders, should be made as easy as possible to follow, to increase the feasibility of the diet. Furthermore, the long-term effects of foods should be investigated; children might outgrow the sensitivity to the incriminating foods when they are avoided for a long period of time.

Our study shows considerable effects of a restricted elimination diet in an unselected group of children with ADHD, with equal effects on ADHD and oppositional defiant disorder. Therefore, we think that dietary intervention should be considered in all children with ADHD, provided parents are willing to follow a diagnostic restricted elimination diet for a 5-week period, and provided expert supervision is available. Children who react favourably to this diet should be diagnosed with food-induced ADHD and should enter a challenge procedure, to define which foods each child reacts to, and to increase the feasibility and to minimise the burden of the diet. In children who do not show behavioural improvements after following the diet, standard treatments such as drugs, behavioural treatments, or both should be considered.

Return to ADD/ADHD

Since 2-06-2011

© 1995–2026 ~ The Chiropractic Resource Organization ~ All Rights Reserved